在nm450耐磨板淬火时含碳量对裂纹的影响是不可忽视的,源达旺小编就先来聊一聊到底nm450耐磨板含碳量对淬火裂纹的影响有多大。
1.含碳量对断裂强度的影响

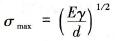
含碳量的增加,降低马氏体的断裂强度。根据脆性固体理论断裂强度公式:
(5-1)
式中,E为弹性模量;γ为表面能;d为原子面间距。多晶体α铁的理论断裂强度约为40000MPa。马氏体的断裂强度应低于此值,但尚缺少研究,只可作一般理论推断。
从式5-1可见,σmax值随E、γ、d值而变化,设γ不变,仅讨论E值、d值随含碳量增加而变化的情况。
固溶体中随溶质浓度提高,弹性模量E的变化趋向是和固相线的走向一致的。在Fe-C合金中,随钢的含碳量增加,固相线是不断降低的。如Fe-C相图的J点到E点,含碳量由0.17% C升高到2.11% C,固相线温度则由1495℃降到1148℃。因此含碳量提高,马氏体中铁原子间结合力降低,弹性模量是降低的。普通中碳钢淬火热处理使马氏体弹性模量降低10%。
根据式5-1,弹性模量E的降低,断裂强度值也随之降低。
式5-1中的d值也与含碳量有关。淬火马氏体的准解理断口取向是沿铁素体的{100}面。正方马氏体的c轴较长,(001)M面的间距较大,因此可能沿(001)面断裂,而(001)面的间距d即为轴长c,c值是含碳量的函数:

c=a0+0.116w(C) (5-2)
式中,a0是α-Fe的点阵常数,为0.286nm。可见含碳量增加,c值变大。c值相当式5-1中的d值,因此,nm450耐磨板含碳量的增加使断裂强度降低。
此外,随马氏体中含碳量增加,位错亚结构逐渐变为孪晶亚结构;淬火显微裂纹也会增加;这些都增加了马氏体的脆性,降低断裂强度。图5-3为含碳量对淬火钢断裂强度的影响,由图5-3可见,从中碳到高碳,淬火态钢的断裂强度值迅速降低,增加淬裂敏感性。
不过,含碳量仅为亚共析钢范围,对于过共析钢来说,继续增加含碳量对淬裂倾向的影响与淬火加热温度有关。如果加热温度在Ac1~Acm之间,奥氏体中的固溶碳量变化不大,并且有较多的未溶解的渗碳体或合金碳化物。淬火后得到马氏体基体上分布着粒状碳化物。这种复相组织的弹性模量要按两相整合后的体积比例的平均值计算。由于碳化物的熔点或分解温度较高,弹性模量较大,因此这种复相组织的模量E值可能有所增加。这时淬火钢的开裂倾向变化不大。
然而,若将过共析钢加热到Acm以上,进行过热淬火,这时碳全部溶入奥氏体中,且奥氏体晶粒粗化,淬火时转变为粗大针状(片状)或蝶状马氏体组织,这会增加显微局部应力,甚至形成显微裂纹。因此,高碳马氏体的断裂强度更低,更加脆化,增加了淬裂倾向。
2.对宏观内应力的影响
nm450耐磨板钢中含碳量增加时,宏观内应力也向促进淬裂方向发展。含碳量增加,热应力影响变弱,相变应力的影响加强。水中淬火时,表面压应力变小,而中间部位的拉应力极大值向表面靠近。油中淬火时,表面拉应力变大。所有这些都增加淬火开裂倾向。

3.淬裂-Ms-含碳量的关系
随着含碳量的增加,Ms点降低。不同碳浓度的Fe-C合金的Ms点为:
Ms≈520 - 320×w(C) (5-3)
可见碳浓度与Ms点呈线性关系。由图5-4可见,与Ms-含碳量的直线关系相适应,淬裂与不淬裂的倾向也有相对应的变化。图5-4中显示,淬火开裂发生在0.4%C以上,Ms点在330℃以下的钢中。而含碳量低于0.4%,Ms点在330℃以上的钢并不容易产生淬火裂纹。由此可见,为了避免零件淬裂,可以选用0. 4%C以下的钢种。如日本某公司专门使用S35C(35号钢)制造机械零件,进行水中淬火,避免淬裂事故。
山东源达旺钢材公司为您提供耐磨钢板现货切割定制批发零售厂家,公司经验丰富,能够为客户提供优质的耐磨钢板、耐候板、高强板、高建钢、弹簧钢、桥梁钢板等产品,欢迎随时拨打源达旺耐磨板热线电话进行咨询订购或来厂考察。山东源达旺小编在这里提醒广大用户:一定不要贪图价格的便宜而购进质量不好的产品甚至是假货,结果造成自己企业的损失。公司地址:山东聊城高新区长江路东首鲁西钢材市场A区6号,华经理欢迎每一位用户的指导监督。
如果您对“nm450耐磨板含碳量对淬火裂纹的影响”还有任何疑问?
请致电咨询24小时免费热线:0635-8819009,或在线咨询我们客服
我们公司官方网站: http://weddingbellschapel.com [网上预约价格更优惠]